Under development
- State:
State(uid: Hashable) - Transition:
Transition(label: Union[Hashable, None])(None is Epsilon transition) - FSM:
FSM(fsm: Dict[State, Dict[Transition, Union[State, Set[State]]]], initial_states: Set[State], final_states: Set[State]) - Deterministic FSM:
DeterministicFSM(fsm: Dict[State, Dict[Transition, State]], initial_states: Set[State], final_states: Set[State])
- Converting from Python Types:
FSM.from_original(fsm: Dict[Hashable, Dict[Hashable, Union[Hashable, Set[Hashable]]]], initial_states: Set[Hashable], final_states: Set[Hashable]) - NFA to DFA conversion:
DeterministicFSM.from_fsm(fsm_obj: FSM, name_of_state_generator) - Elimination of epsilon-transitions:
fsm.eliminate_epsilon_transitions() - DFA Minimization by Hopcroft's Algorithm:
dfsm.minimize(name_of_state_generator) - FSM plotting (graphviz required):
fsm.plot(filename) - Random generation:
FSM.generate(deterministic, states_alphabet, min_states, max_states, transitions_alphabet, min_transitions_from_state, max_transitions_from_state, min_initial_states, max_initial_states, min_final_states, max_final_states)
NFA = {'0': {'a': {'1', '2'}, 'b': '2'},
'1': {'a': '2', 'b': '3'},
'2': {'a': {'1', '2'}, 'b': '3'},
'3': {}}
initial_states = {'0'}
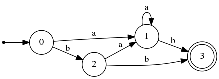
final_states = {'3'}DFA = {'0': {'a': '1', 'b': '2'},
'1': {'a': '1', 'b': '3'},
'2': {'a': '1', 'b': '3'},
'3': {}}
initial_states = {'0'}
final_states = {'3'}Minimal_DFA = {'0': {'a': '1', 'b': '1'},
'1': {'a': '1', 'b': '3'},
'3': {}}
initial_states = {'0'}
final_states = {'3'}

